贵州省的大学排名_贵州省的大学有哪些(2)
作者: 来源: 时间:2021年08月20日
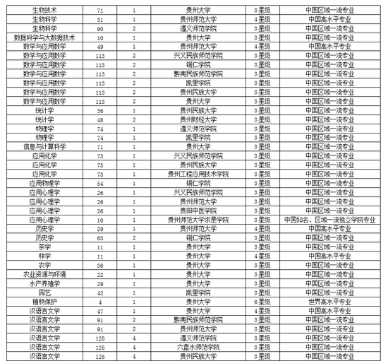
2019贵州省一流专业排名 贵州大学第一
2019贵州省一流专业排名 贵州大学第一
2019贵州省一流专业排名 贵州大学第一
2015年贵州大学排名
中国大学排行榜700强出炉 贵州9所高校上榜
2017贵州省大学教学质量排行榜 贵州大学第一
2021年贵州省大学排名
2017贵州省大学教学质量排行榜 贵州大学第一
重磅 贵州28所高校实力排行榜出炉 快看你母校的地位变了吗
什么样的大学更适合你 2016年全国各省大学排名
2018年高考 贵州高考成绩已出,贵州省的本科大学排名你知道吗
最全 看看你所在的高校排名第几 附各省高校省内和全国排名及低分也能进的985和211高校
2019贵州省一流专业排名 贵州大学第一
2016贵州二本457,我480能报贵州哪些学校录取大,选八个,以我分看从高
延伸阅读:
| 手机cpu性能排行_手机cpu性能排行榜2023-08-04 |
| 佛祖的排名_佛教佛祖排名一览表2021-08-20 |
| 伦理片排名_2017年伦理片免费观看2021-07-24 |
| 火山主播排名_小火山主播揪痧视频2021-08-21 |
| 步兵女神排行_业界十位岛国知名步兵女神2023-09-06 |
| 环太平洋机甲排名_环太平洋机甲图片2021-08-21 |
| gv排名_日本gv男演员名字大全2021-07-23 |
| 乳量排名_神奇宝贝乳量排名图片2021-09-18 |
| 姓叶排名_姓叶的微信头像图片2021-09-19 |
| 斗鱼土豪排名_斗鱼主播祖祖土豪定制2021-09-20 |
新榜速递
最新专题









