2021上海高中排名_上海夜景(3)
作者: 来源: 时间:2021年08月15日
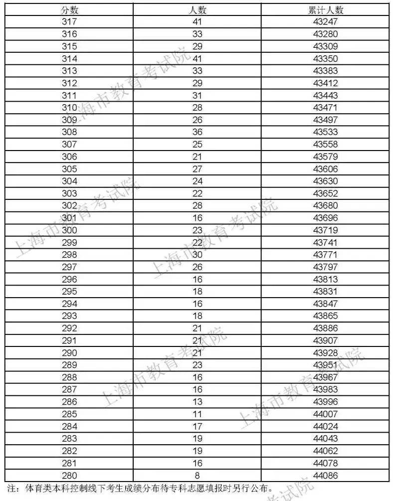
2021上海高考 成绩分布表 公布
2021年上海春季高考时间确定 统一文化课考试2021年1月9日 11日进行
2021上海高中国际课程班和中外合作办学学校招生方案及计划公布
沪2021高中招生学校名单出炉 找找有没有你的母校
2021年上海市高中零志愿 推荐生 自荐生招生计划公布
2021年上海市高中零志愿 推荐生 自荐生招生计划公布
2021年上海市高中零志愿 推荐生 自荐生招生计划公布
2021年上海市高中零志愿 推荐生 自荐生招生计划公布
复交11校综评出结果 4大8校重新洗牌 想要成为那3 ,哪些小初可提前关注
2021年上海市高中零志愿 推荐生 自荐生招生计划公布
2021年衡水高中学校排名与报名流程
2021年上海市高中零志愿 推荐生 自荐生招生计划公布
2021年上海市高中自荐生招生计划公布
延伸阅读:
| 手机cpu性能排行_手机cpu性能排行榜2023-08-04 |
| 佛祖的排名_佛教佛祖排名一览表2021-08-20 |
| 伦理片排名_2017年伦理片免费观看2021-07-24 |
| 火山主播排名_小火山主播揪痧视频2021-08-21 |
| 步兵女神排行_业界十位岛国知名步兵女神2023-09-06 |
| 环太平洋机甲排名_环太平洋机甲图片2021-08-21 |
| gv排名_日本gv男演员名字大全2021-07-23 |
| 乳量排名_神奇宝贝乳量排名图片2021-09-18 |
| 姓叶排名_姓叶的微信头像图片2021-09-19 |
| 斗鱼土豪排名_斗鱼主播祖祖土豪定制2021-09-20 |
新榜速递
最新专题











