2021上海高中排名_上海夜景
作者: 来源: 时间:2021年08月15日
2021上海静安区重点高中学校排名,静安区高中梯队排名
2021年上海市高中招生学校名单发布,附2021年自荐 推荐 零志愿招生计划
2021上海黄浦区重点高中学校排名,黄浦区高中梯队排名
2021上海高中综评录取数据一览
2021上海中考,16区升学难度排名来了
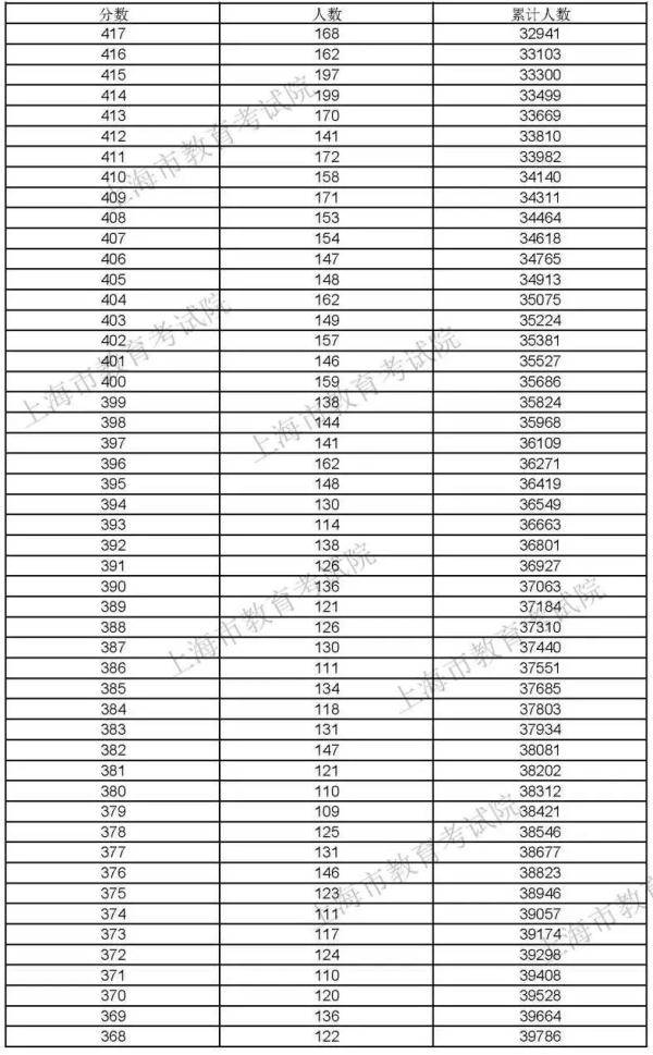
快讯 2021上海高考 成绩分布表 公布
2021年上海市高中招生计划
2021年上海市高中招生学校一览表 246所
2021年上海市高中招生学校一览表 246所
上海高中排名 附清北录取 综评人数及录取率
上海硕彦教育分享上海高中排名 附清北 综评 竞赛 分数等数据
2021年上海市高中招生学校一览表 246所
2021年上海市高中招生计划
2021年上海市高中招生学校名单发布,附2021年自荐 推荐 零志愿招生计划
2021年上海市高中招生计划
2021年上海市高中招生计划
上海高中分数线排名一览,附近8年中考最低投档分数线
2021年上海市高中招生学校名单发布,附2021年自荐 推荐 零志愿招生计划
快讯 2021上海高考 成绩分布表 公布
2021年上海市高中推荐生招生计划公布
2021上海中考,16区升学难度排名来了
延伸阅读:
| 手机cpu性能排行_手机cpu性能排行榜2023-08-04 |
| 佛祖的排名_佛教佛祖排名一览表2021-08-20 |
| 伦理片排名_2017年伦理片免费观看2021-07-24 |
| 火山主播排名_小火山主播揪痧视频2021-08-21 |
| 步兵女神排行_业界十位岛国知名步兵女神2023-09-06 |
| 环太平洋机甲排名_环太平洋机甲图片2021-08-21 |
| gv排名_日本gv男演员名字大全2021-07-23 |
| 乳量排名_神奇宝贝乳量排名图片2021-09-18 |
| 姓叶排名_姓叶的微信头像图片2021-09-19 |
| 斗鱼土豪排名_斗鱼主播祖祖土豪定制2021-09-20 |
新榜速递
最新专题















