天津中考排名_2021中考分数线天津(2)
作者: 来源: 时间:2021年08月14日
天津武清高中排名分析
全国各省中考录取率排名 天津第一,河南山东进入前十
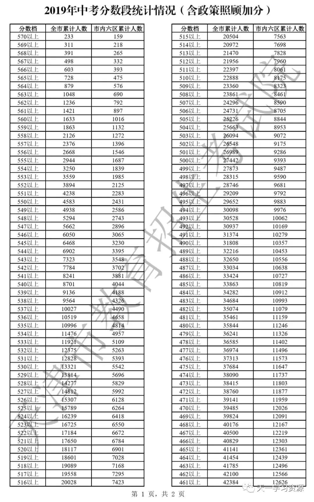
重磅 2019中考一分档公布 附武清往年各学校分数线
全国各省中考录取率排名 天津第一,河南山东进入前十
宁河区的哪所学校上榜 本市高考状元最多的高中是哪个 潜力最大又是哪个 用数据说话
2021天津中考预测录取最低分第二版
2017年天津中考成绩6日开始查询 一分档排名公布
天津市内六区各高中近三年录取分数线及市区排名大汇总
如何用 一分一档表 填志愿 附 近三年天津中考录取分数统计表
2020年天津高中排名
第二弹 2017年度9年级期末考试和平民办校... 天津中考 家长帮
今晚7点查分 2018天津中考一分一档 平均分407.73,快看看你排多少名
重磅 2019中考一分档公布 附武清往年各学校分数线
2014中考最新新闻 第1页
延伸阅读:
| 手机cpu性能排行_手机cpu性能排行榜2023-08-04 |
| 佛祖的排名_佛教佛祖排名一览表2021-08-20 |
| 伦理片排名_2017年伦理片免费观看2021-07-24 |
| 火山主播排名_小火山主播揪痧视频2021-08-21 |
| 步兵女神排行_业界十位岛国知名步兵女神2023-09-06 |
| 环太平洋机甲排名_环太平洋机甲图片2021-08-21 |
| gv排名_日本gv男演员名字大全2021-07-23 |
| 乳量排名_神奇宝贝乳量排名图片2021-09-18 |
| 姓叶排名_姓叶的微信头像图片2021-09-19 |
| 斗鱼土豪排名_斗鱼主播祖祖土豪定制2021-09-20 |
新榜速递
最新专题










